| 太玄书阁 > 贾平凹 > 秦腔 > |
| 一零八 |
|
|
|
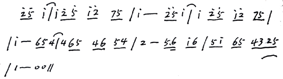
警车是县公安局的,他们接到了乡政府的紧急电话就开来了。警车一来,许多人就逃散开,木棍,铁锨,石头,砖头扔了一地,还有三顶帽子和十几只不成对的鞋。警察抓住了撞门和勒狗的八个人,铁门从里边拉开了。 这就是著名的“年终风波”。这一年,十二属相里排为龙年,龙年是不安生的,我们县上发生了五大案件。先是过风楼乡实行村委会民主选举,两大家族间起了械斗,数百人打成了一锅灰。再是大油门镇派出所为了筹资盖宿舍楼,给警察分配处罚款数,一女子就以卖淫罪被抓了罚没三千元,那女子不服上告,结果经医院检查,女子的处女膜完好无损。到了夏季,壅乡小学才盖了一栋教学楼却塌了,当场死伤了六个学生。又不到半月,东川镇八里村破获特大盗窃自行车案,八里村二百零七户而一百九十八户都曾有过从省城、州城偷盗自行车的劣迹,八里村从此称作偷盗自行车专业村。这些案件在发生之后都轰动一时,但清风街“年终风波”出来后,我们是大拇指,它们就是小拇指了。清风街在当天晚上下起了雪,雪是一片一片小白花往下落,它压根儿不消,积得虚腾腾的有一乍厚。屋顶和街巷,312国道,以及乡政府的院里院外,都是纯一色的白,你哪里能想到这里发生了惊天动地的事件!八个人,还有武林和瞎瞎,统统被关押在了乡派出所,清风街街巷中没有了一个人,人都回到了各自的家,没吵闹声,也没哭声。但是,赛虎子的魂仍在乡政府大门外飘荡,因为来运在这儿抓抓,在那儿嗅嗅,然后望着已被抛扔在门前榆树枝上的那根麻绳汪汪哀叫。赵宏声来到夏天义家为夏天义捏骨,锁骨没有完全断,属于粉碎性骨折,他还是给贴了膏药,然后掖着衣服回去。雪把他变成了个老头。他看见了哀嚎的来运,叫道:“来运,来,来运!”来运却不愿意到他跟前来。赵宏声在雪地立了一会儿,捡起了一只鞋。鞋是灯心绒鞋面,鞋头破了一个洞,鞋后跟磨损得一半几乎都没有了。赵宏声猜不出这是谁的鞋,刚提着鞋要走,大铁门里有人叫住了他,说:“站住!”赵宏声就站住了。那人说:“你是谁?”赵宏声说:“你是谁?”那人说:“我是专案组的!你在这儿看什么?”赵宏声赶紧说:“我是赵宏声,清风街的医生,我可没参与闹事。吴三呈,吴干事,你得给我作证,我闹事了没闹事?”吴三呈正从铁门出来,说:“没你的事,你快走吧!”赵宏声把那只鞋扔了,一边往回走,说:“臭鞋!”甩着手。 清风街驻进来的专案组人员,连续三天三夜调查风波经过,结果撞门和勒狗的八个人各被行政拘留十五天。夏家抓走的是瞎瞎和庆满,警察曾到竹青家来抓竹青,认为是她在高音喇叭上煽动群众闹事,身为村干部,该更严处理,但竹青逃跑了。武林和瞎瞎没有直接闹事,却是风波的起因,在交足税费后分别罚款二百元,通知家人交钱领人,并继续寻找竹青。要求庆堂,一旦竹青回来,立即报告。至于征缴税费,君亭他们给乡政府写了一份检讨,君亭只好去信用社贷了三十二万元作为税费款交给了乡政府。 武林的税费及罚款是村委会代交的,瞎瞎的也是拿不出钱,白雪替他垫了。武林放回来的第二天,去找陈星,求陈星能在果园里有个活干。陈星说:“冬天里果林里有啥活干的,你是让我养活你呀么?”武林却不走,赖着说:“你不,不,啊不让我干,我就就,就要饭去呀!”陈星就让他帮陈亮干活,工资是一月一百元,可以管饭。武林爬下就给陈亮磕头。陈亮说:“你不要磕,磕头,可我告告告诉你,你得听听我的话话,我叫你干干啥你就得干啥啥,不能和我顶顶嘴你你听到了没没?”武林说:“我,啊我听,听到了。我顶,顶,顶不过你,你换,换气,比,比,比我快哩!” 夏天义已经贴了赵宏声的三张膏药,他再次去药铺换药时,宽大的棉袄显得像给麦田里的稻草人穿的,风一吹就呼啦啦晃荡。他斜着身子倚在了药铺门上,门上换了新联:“开方观人脸面;打针只对屁股”,而铺子里坐有书正。书正也是来给腿上换膏药的,旁边放着一根竹棍。书正说:“天义叔,我是个断腿,你也是个塌塌肩了,你说这是为啥?”夏天义说:“报应。”书正格儿格儿笑起来,笑成了一对鼠眼。他说:“天义叔,我不记恨了,你快坐下,现在胳膊还能抬起来吗?”夏天义没有坐,就走近了柜台前,他的屁股后是书正的头,他让赵宏声给他换肩头上的膏药。书正说:“天义叔,我还要谢你哩!”赵宏声捏了捏肩,夏天义吸了一口气。书正又说:“不是你弄断了我的腿,这一次抓人能少得了我?”夏天义回过头来,用脚就在书正的另一条腿上踢了一下,说:“那就踢断你这条腿!”书正便倒在了地上,哎哟哎哟叫唤,说:“你往腿肚子踢么,天义叔!”夏天义的脸严肃得很,书正就不敢多作声了。赵宏声却开始笑起来,说:“我说一个笑话!”不等两人反应,赵宏声就说开了,他说,这是上个月发生在中街的真事,乡长在理发店里理发的时候,和剃头的张八哥拉话。拉着拉着说到了小康生活,乡长说:“君亭给你们讲没讲过奔小康?”张八哥说:“讲了。”乡长说:“那你说说,啥叫个小康?”张八哥说:“白天有酒喝,晚上有奶摸……”坐在理发店门口的白恩杰媳妇说:“张八哥,你嘴里咋就吐不出个象牙?”张八哥说:“噢,这白家嫂子就是小康,白天有牌打,黑来有碕耍!”笑话就讲完了。讲完了夏天义没笑,书正也没笑。赵宏声说:“咋都不笑?”夏天义扭身从药铺里走了,书正一眼一眼看着夏天义走。雪后的太阳照着,门槛和台阶上落下一个高大的身影。书正说:“这算啥笑话?张八哥说的对着的。”赵宏声愣了愣,说:“没文化!有你这话,才更是笑话哩!” 夏天义踉踉跄跄地从街上走过,小炉匠和张拴狗是喝醉了,小炉匠咧着嘴站在染坊门口笑,笑声像夜猫子叫,然后就倒在雪窝里。张拴狗却手拿了一个木棍,歪着头挨家挨户敲屋檐上吊着的冰凌,哗啦,一串冰凌掉下来,哗啦,一串冰凌掉下来,一根冰凌落在他的头上,血从额上流出来,红蚯蚓一样蠕动。夏天义突然想吃一碗凉粉,但街上的几家饭店门都关着。他没有吃成凉粉,走到了东街,在夏天智的院墙外立了脚听动静。院子里有孩子的咿呀声。夏天义朝院子里问:“白雪,白雪,你爹还没回来吗?”院里的白雪说:“是二伯呀,你进来坐呀!我爹还没回来,听夏雨说就这几天要出院的。”夏天义说:“他该回来了……娃乖着吧?”白雪说:“乖着。”夏天义说:“你娘身子骨还好?”白雪说:“前天我去看了一次,我娘还行,只是在医院睡不好。”夏天义说:“噢。我就不来了。” 夏天义试着把胳膊往上抬,勉强还能抬起来,但巷道的短墙头上一棵狗尾巴草的穗儿白茸茸的,像开着的一朵花,他想去掐掐,却怎么也举不到那么高。竹青就从旁边的一个厕所里闪出来,嘴里还叼着一根纸烟,叫声:“爹!”夏天义吃了一惊,说:“你回来啦,几时回来的?”竹青说:“我早晨回来的,爹,你的伤咋样,人就瘦得这样呀?”夏天义说:“派出所来人找过你没?”竹青说:“我回来还没人知道。”夏天义说:“你这么大个人,又不是只苍蝇,怎么能没人知道?我看你还是去派出所……”天突然间暗下来,夏天义闻到了一股呛呛的气味,他以为是傍晚村里人家的炊烟,扭头看时,巷道外的那一片麦地里雾气笼罩了一层。他说:“今日雾起身早。”竹青也看着雾从麦地里四处流动,一只猫迅速跑过来,像是雾的潮水在追赶它,又像是它牵动了麦地里的雾,湿漉漉地涌了浪,立时猫不见。竹青说:“去派出所?……庆满他们还没回来哩。”夏天义说:“没回来才说明事情没结束呢。你去派出所吧,共产党的事你也知道,躲得过初一,躲得过十五?”雾把巷子也填了一半,竹青拿手去抓一疙瘩雾,抓到手里,手里却又什么都没有,她说:“爹,咱倒弄了一场啥事么?!”夏天义长出了一口气,说:“走吧,爹陪你去。” 两个人便去派出所,竹青走在前边,夏天义跟着在后,都有气无力。这时候,万宝酒楼的院子里丁霸槽在剥狗皮。因为乡政府派人来订好了一桌饭,来人就背着死了的赛虎,要求炖上一锅狗肉。丁霸槽把狗皮剥下来,吊在绳上的没了皮的赛虎竟然和人一模一样,丁霸槽就吓得刀从手上掉了下来。酒楼上开始唱起了秦腔的曲牌,曲牌声中,赛虎子终于被开膛分割,一块一块炖在了锅里。秦腔的曲牌声,哼唱得并不高,清风街许多人家都没有听到,但夏天义和竹青却听到了。夏天义说:“谁唱秦腔哩?”竹青说:“谁唱秦腔哩?”雾已经是十步远就啥也看不清,一团一团像滚筒子在翻卷,再后两人就踏进了棉花堆里一样。竹青不忍心夏天义的样子,说:“爹,你不去了,我独个去。”夏天义说:“是不是看爹老了?”竹青说:“爹只是有伤,伤好了就和以前一样了。”夏天义说:“是老了!”秦腔的曲牌再一次传了过来: ![]() 夏天义住了脚再听时,音调又变了: ![]() |
|
|
| 太玄书阁(xuge.org) |
| 上一页 回目录 回首页 下一页 |